Официальное опубликование правовых актов
ОФИЦИАЛЬНОЕ ОПУБЛИКОВАНИЕ
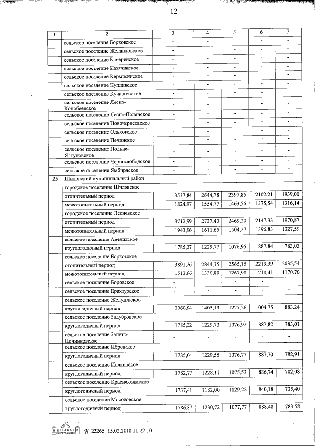
Постановление Правительства Рязанской области от 21.02.2018 № 34
"О внесении изменений в постановление Правительства Рязанской области от 21.11.2017 № 304 "О региональном стандарте стоимости жилищно-коммунальных услуг"
Номер опубликования: 6200201802270003
Дата опубликования: 27.02.2018
Страница №39 из 54:
Увеличить