Официальное опубликование правовых актов
ОФИЦИАЛЬНОЕ ОПУБЛИКОВАНИЕ
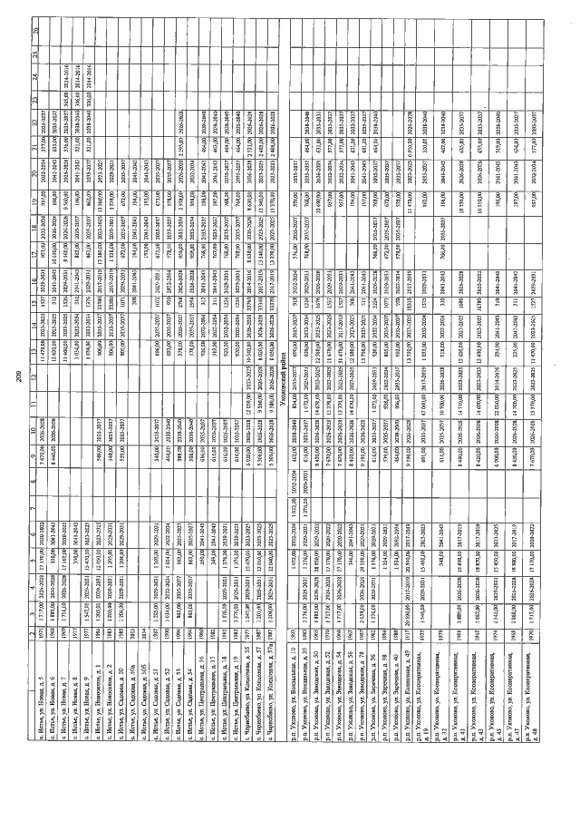
Постановление Правительства Рязанской области от 28.12.2016 № 332
"О внесении изменений в постановление Правительства Рязанской области от 12.02.2014 № 26 "Об утверждении региональной программы капитального ремонта общего имущества в многоквартирных домах" (в редакции постановлений Правительства Рязанской области от15.10.2014 № 293, от 11.06.2015 № 140, от 13.07.2016 № 158)"
Номер опубликования: 6200201701060002
Дата опубликования: 06.01.2017
Страница №210 из 221:
Увеличить