Официальное опубликование правовых актов
ОФИЦИАЛЬНОЕ ОПУБЛИКОВАНИЕ
Постановление Правительства Рязанской области от 09.09.2016 № 204
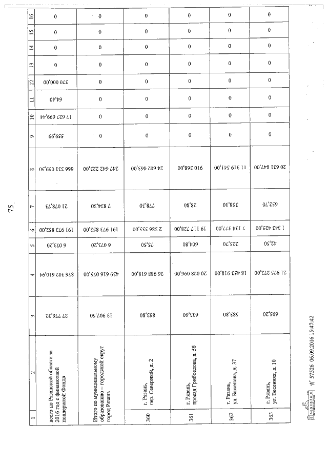
"О внесении изменения в постановление Правительства Рязанской области от 06 мая 2013 г. № 115 "Об утверждении адресной программы Рязанской области по переселению граждан из аварийного жилищного фонда на 2013-2017 годы" (в редакции постановлений Правительства Рязанской области от 11.12.2013 № 417, от 28.04.2014 № 112, от 15.07.2014 № 194, от 11.02.2015 № 15, от 07.10.2015 № 249, от 07.12.2015 № 299, от 27.07.2016 № 170)"
Номер опубликования: 6200201609140001
Дата опубликования: 14.09.2016
Страница №226 из 253:
Увеличить