Официальное опубликование правовых актов
ОФИЦИАЛЬНОЕ ОПУБЛИКОВАНИЕ
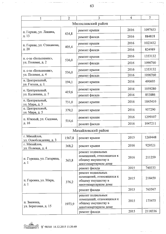
Постановление Правительства Рязанской области от 16.12.2015 № 312
"О внесении изменений в постановление Правительства Рязанской области от 28.01.2015 № 10 "Об утверждении регионального краткосрочного плана реализации региональной программы капитального ремонта общего имущества в многоквартирных домах на 2015 год" (в редакции постановления Правительства Рязанской области от 05.08.2015 № 191)"
Номер опубликования: 6200201512210008
Дата опубликования: 21.12.2015
Страница №64 из 76:
Увеличить