Официальное опубликование правовых актов
ОФИЦИАЛЬНОЕ ОПУБЛИКОВАНИЕ
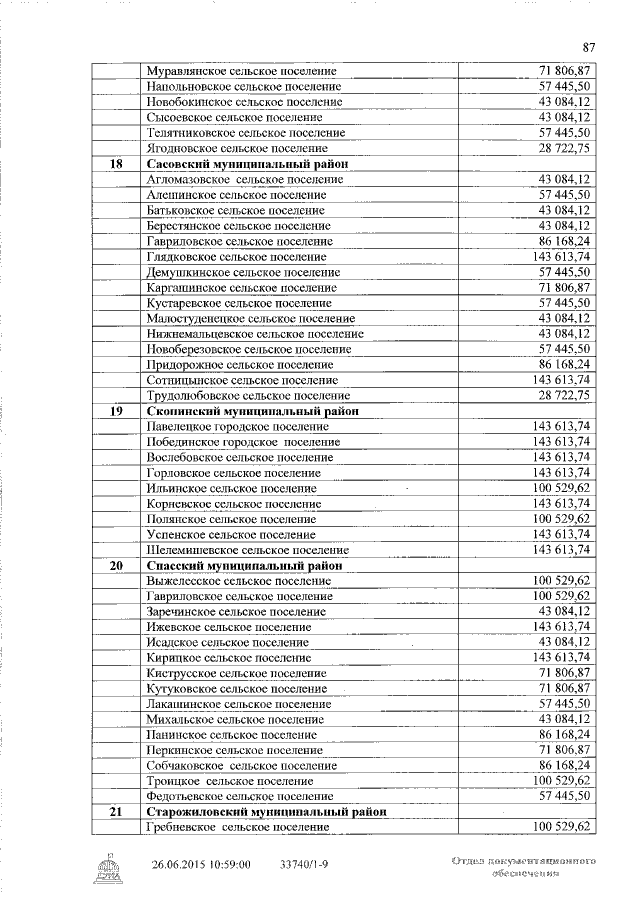
Закон Рязанской области от 30.06.2015 № 36-ОЗ
"О внесении изменений в Закон Рязанской области "Об областном бюджете на 2015 год и на плановый период 2016 и 2017 годов"
Номер опубликования: 6200201507010001
Дата опубликования: 01.07.2015
Страница №87 из 113:
Увеличить