Официальное опубликование правовых актов
ОФИЦИАЛЬНОЕ ОПУБЛИКОВАНИЕ
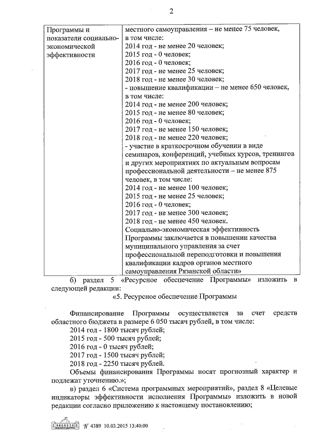
Постановление Правительства Рязанской области от 18.03.2015 № 48
"О внесении изменений в постановление Правительства Рязанской области от 30.10.2013 № 336 "Об утверждении государственной программы Рязанской области "Профессиональная переподготовка и повышение квалификации кадров органов местного самоуправления на 2014-2018 годы" (в редакции постановления Правительства Рязанской области от 19.02.2014 № 41)"
Номер опубликования: 6200201503230009
Дата опубликования: 23.03.2015
Страница №2 из 7:
Увеличить