Официальное опубликование правовых актов
ОФИЦИАЛЬНОЕ ОПУБЛИКОВАНИЕ
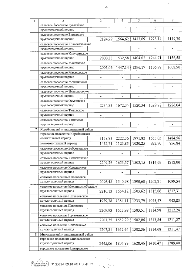
Постановление Правительства Рязанской области от 29.10.2014 № 303
"О внесении изменений в постановление Правительства Рязанской области от 23 июля 2014 г. № 204 "О региональном стандарте стоимости жилищно-коммунальных услуг"
Номер опубликования: 6200201411050002
Дата опубликования: 05.11.2014
Страница №19 из 43:
Увеличить