Официальное опубликование правовых актов
ОФИЦИАЛЬНОЕ ОПУБЛИКОВАНИЕ
Постановление Региональной службы по тарифам Ростовской области от 04.12.2025 № 278
"О корректировке производственных программ в сфере холодного водоснабжения и водоотведения МУП "Управление "Водоканал" (ИНН 6154051373) на 2026 год"
(Зарегистрирован 04.12.2025 № 278)
Номер опубликования: 6101202512080068
Дата опубликования: 08.12.2025
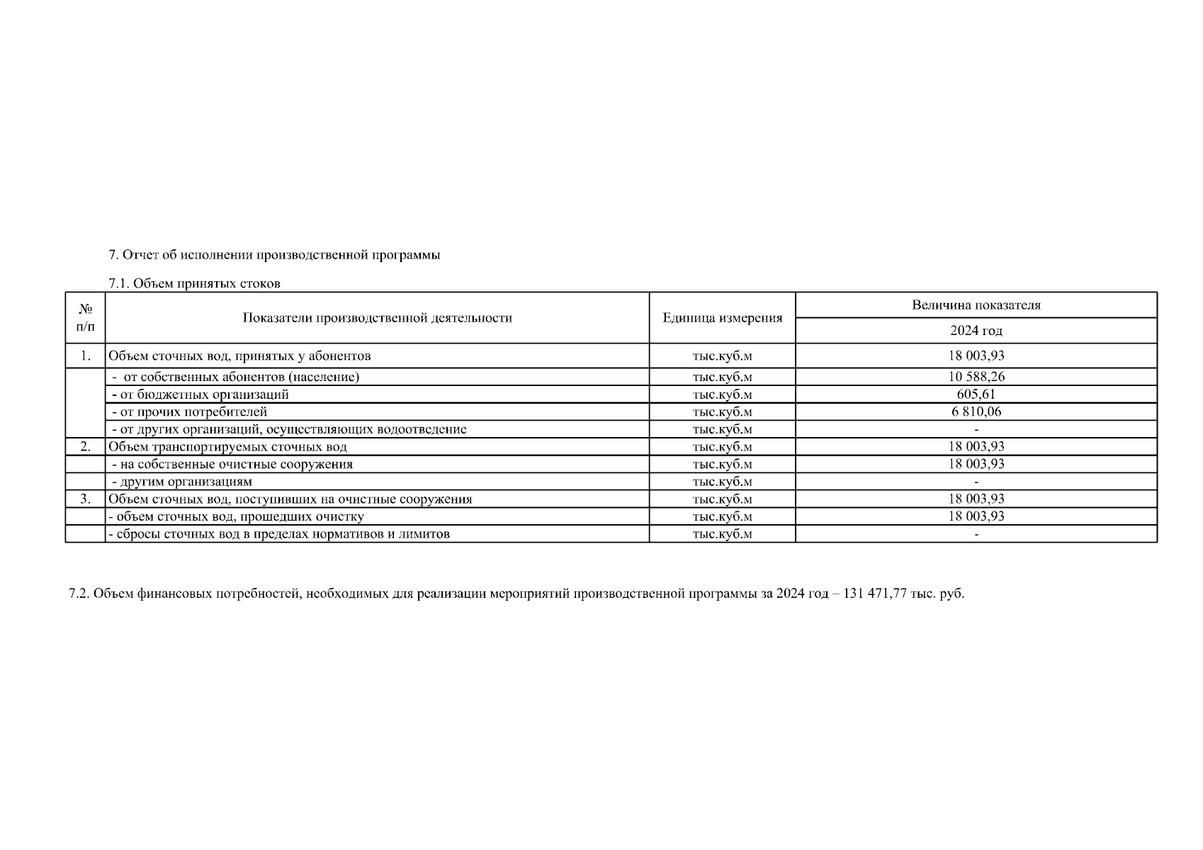
Страница №37 из 37:
Увеличить