Официальное опубликование правовых актов
ОФИЦИАЛЬНОЕ ОПУБЛИКОВАНИЕ
Постановление Региональной службы по тарифам Ростовской области от 24.11.2025 № 191
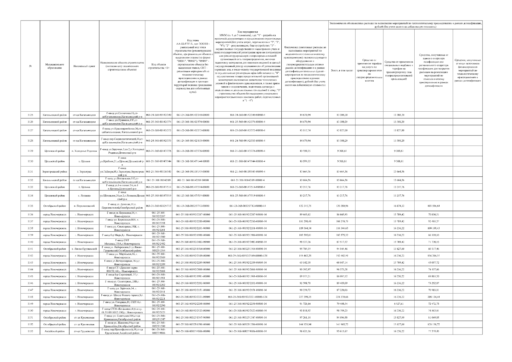
"Об установлении размера экономически обоснованных расходов на выполнение мероприятий на осуществление технологического присоединения газоиспользующего оборудования в рамках догазификации для ПАО "Газпром газораспределение Ростов-на-Дону" за 3 квартал 2025 года"
(Зарегистрирован 24.11.2025 № 191)
Номер опубликования: 6101202511250001
Дата опубликования: 25.11.2025
Страница №50 из 101:
Увеличить