Официальное опубликование правовых актов
ОФИЦИАЛЬНОЕ ОПУБЛИКОВАНИЕ
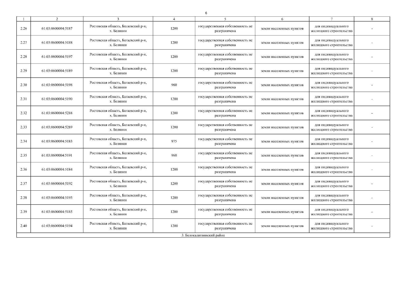
Постановление Министерства имущественных и земельных отношений, финансового оздоровления предприятий, организаций Ростовской области от 29.04.2025 № 9
"Об утверждении перечня земельных участков, предназначенных для бесплатного предоставления в собственность участникам специальной военной операции или членам семей погибших (умерших) участников специальной военной операции, указанным в пунктах 1 и 2 статьи 8-7 Областного закона от 22.07.2003 № 19-ЗС "О регулировании земельных отношений в Ростовской области", и (или) территорий (земель), в границах которых могут быть сформированы такие земельные участки"
(Зарегистрирован 29.04.2025 № 9)
Номер опубликования: 6101202504300006
Дата опубликования: 30.04.2025
Страница №6 из 38:
Увеличить