Официальное опубликование правовых актов
ОФИЦИАЛЬНОЕ ОПУБЛИКОВАНИЕ
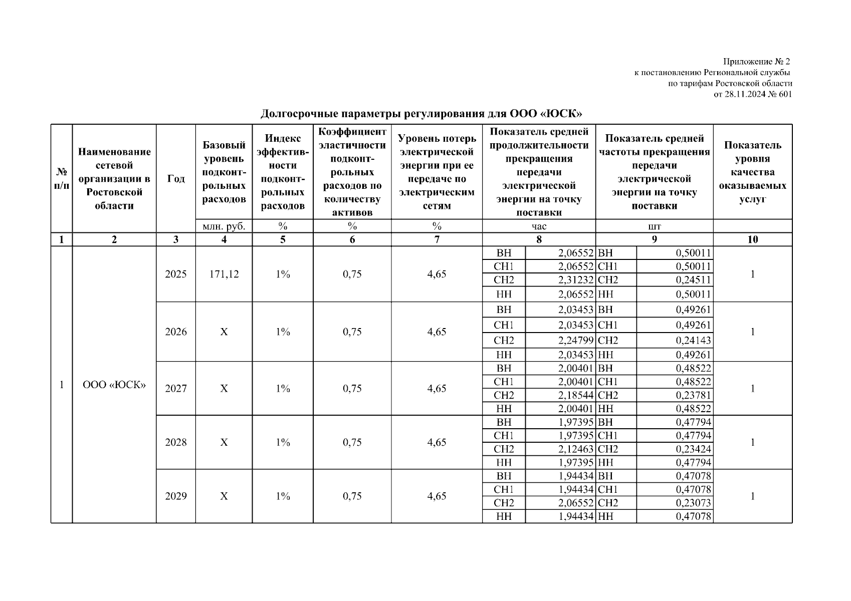
Постановление Региональной службы по тарифам Ростовской области от 28.11.2024 № 601
"Об установлении индивидуальных тарифов на услуги по передаче электрической энергии и необходимой валовой выручки на долгосрочный период регулирования 2025-2029 годов для расчетов ПАО "Россети Юг" (филиал ПАО "Россети Юг" - "Ростовэнерго") за услуги по передаче электрической энергии, оказываемые ООО "ЮСК"
(Зарегистрирован 28.11.2024 № 601)
Номер опубликования: 6101202412020001
Дата опубликования: 02.12.2024
Страница №4 из 5:
Увеличить