Официальное опубликование правовых актов
ОФИЦИАЛЬНОЕ ОПУБЛИКОВАНИЕ
Постановление Региональной службы по тарифам Ростовской области от 09.11.2017 № 55/5
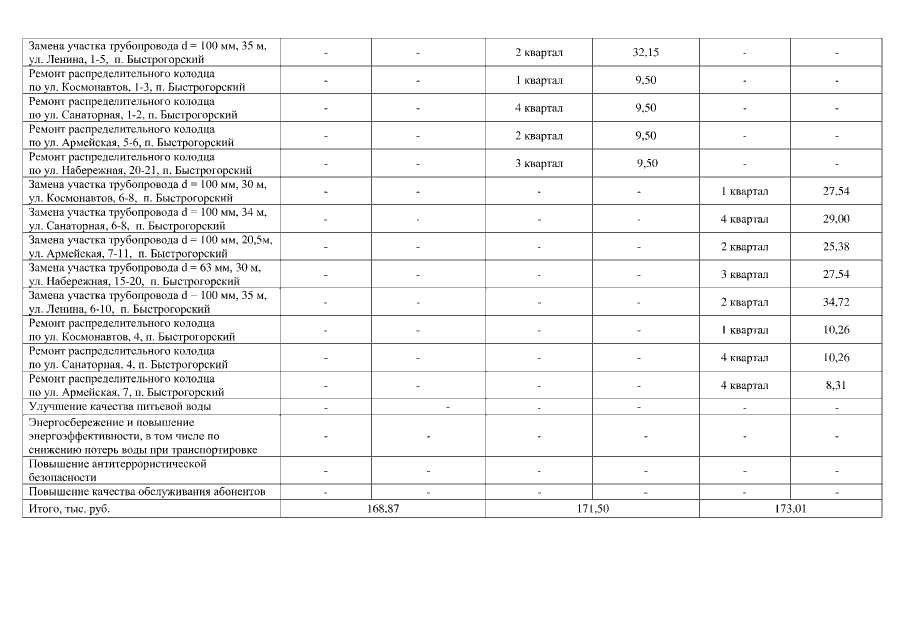
"О корректировке производственных программ в сфере холодного водоснабжения и водоотведения ООО "Вектор" (ИНН 6134012305), Тацинский район, на 2018 год"
Номер опубликования: 6101201711160012
Дата опубликования: 16.11.2017
Страница №5 из 13:
Увеличить