Официальное опубликование правовых актов
ОФИЦИАЛЬНОЕ ОПУБЛИКОВАНИЕ
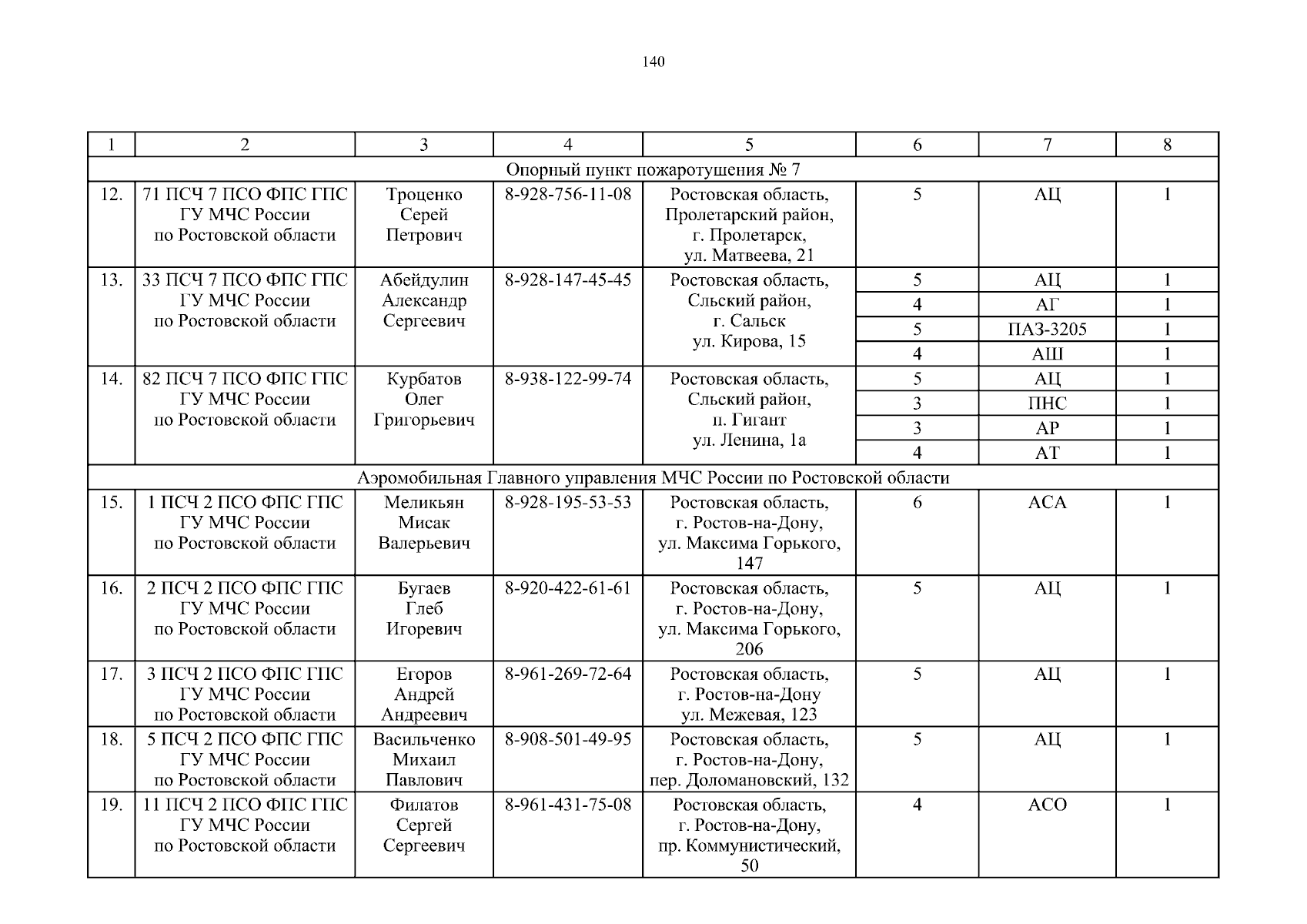
Распоряжение Губернатора Ростовской области от 24.03.2026 № 84
"Об утверждении Плана тушения ландшафтных (природных) пожаров (за исключением лесных пожаров и других ландшафтных (природных) пожаров на землях лесного фонда, землях обороны и безопасности, землях особо охраняемых природных территорий) на территории Ростовской области на 2026 год"
Номер опубликования: 6100202603250029
Дата опубликования: 25.03.2026
Страница №140 из 496:
Увеличить