Официальное опубликование правовых актов
ОФИЦИАЛЬНОЕ ОПУБЛИКОВАНИЕ
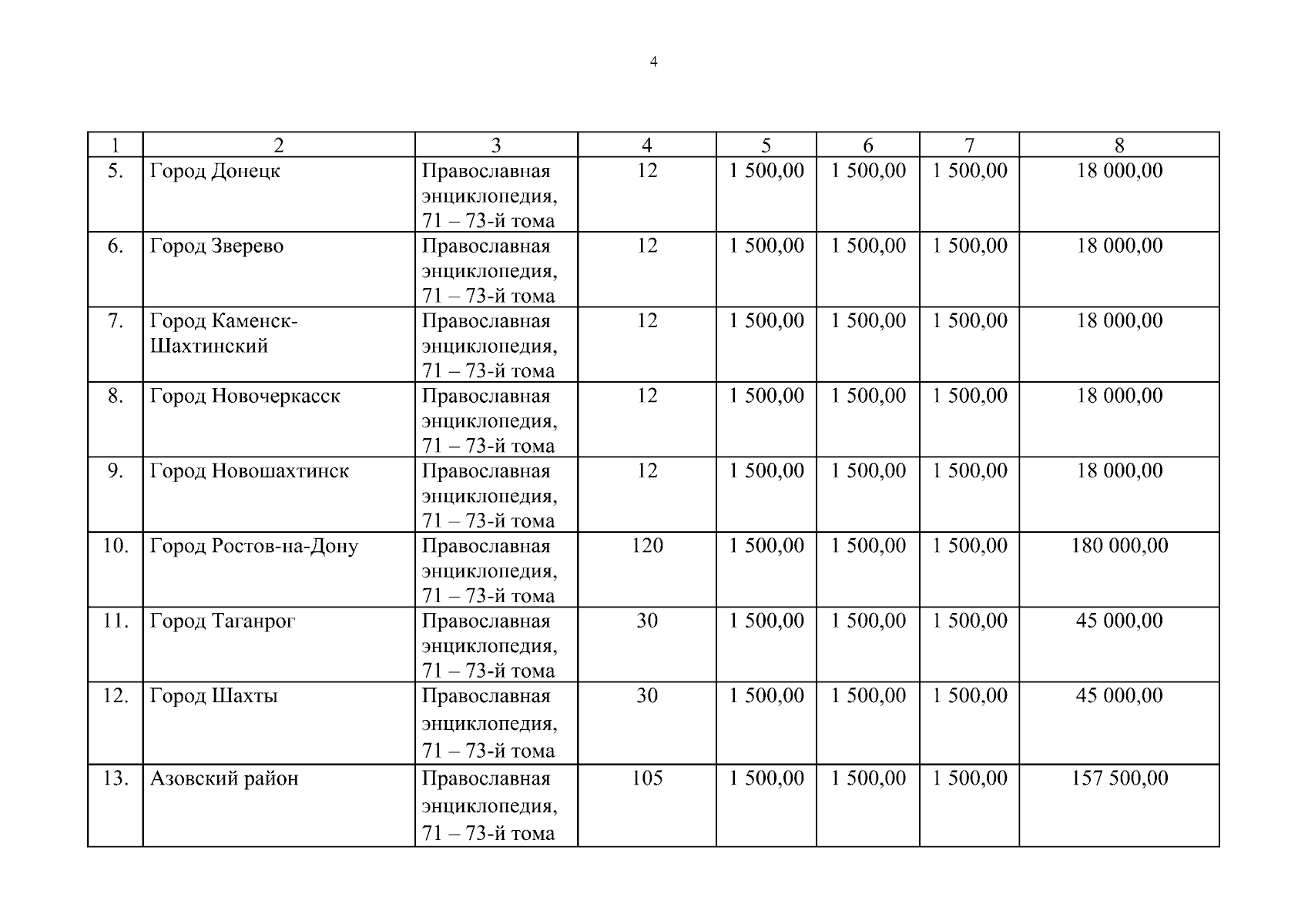
Постановление Правительства Ростовской области от 25.02.2026 № 135
"О передаче имущества из государственной собственности Ростовской области в муниципальную собственность муниципальных образований в Ростовской области"
Номер опубликования: 6100202602260017
Дата опубликования: 26.02.2026
Страница №4 из 9:
Увеличить