Официальное опубликование правовых актов
ОФИЦИАЛЬНОЕ ОПУБЛИКОВАНИЕ
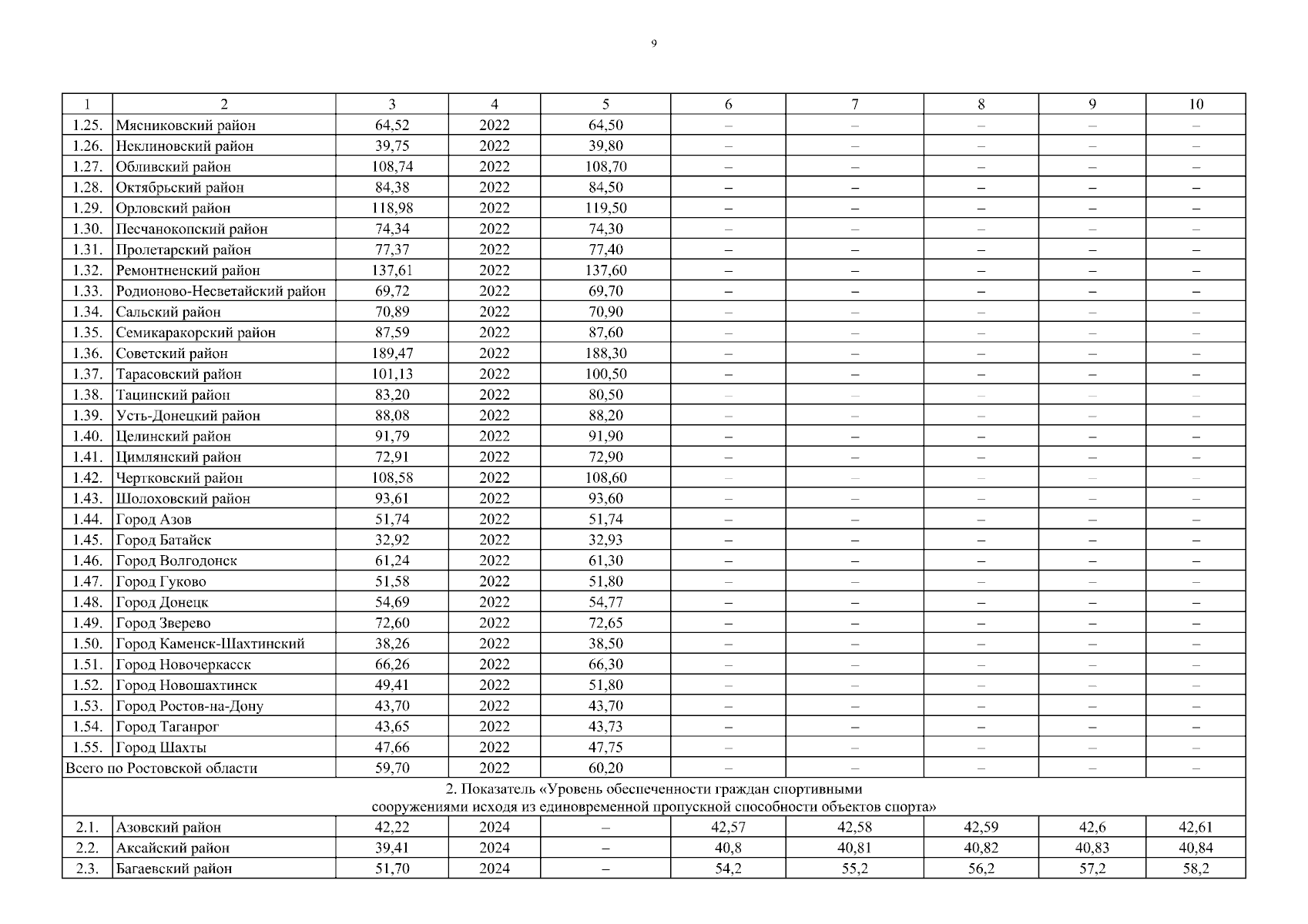
Постановление Правительства Ростовской области от 30.01.2026 № 79
"О внесении изменений в постановление Правительства Ростовской области от 17.10.2018 № 648"
Номер опубликования: 6100202602050005
Дата опубликования: 05.02.2026
Страница №9 из 120:
Увеличить