Официальное опубликование правовых актов
ОФИЦИАЛЬНОЕ ОПУБЛИКОВАНИЕ
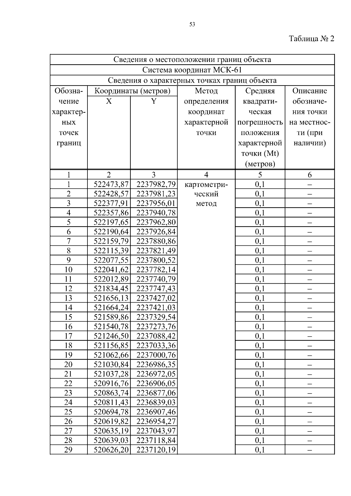
Постановление Правительства Ростовской области от 18.12.2025 № 260
"Об установлении публичного сервитута"
Номер опубликования: 6100202512230034
Дата опубликования: 23.12.2025
Страница №53 из 62:
Увеличить