Официальное опубликование правовых актов
ОФИЦИАЛЬНОЕ ОПУБЛИКОВАНИЕ
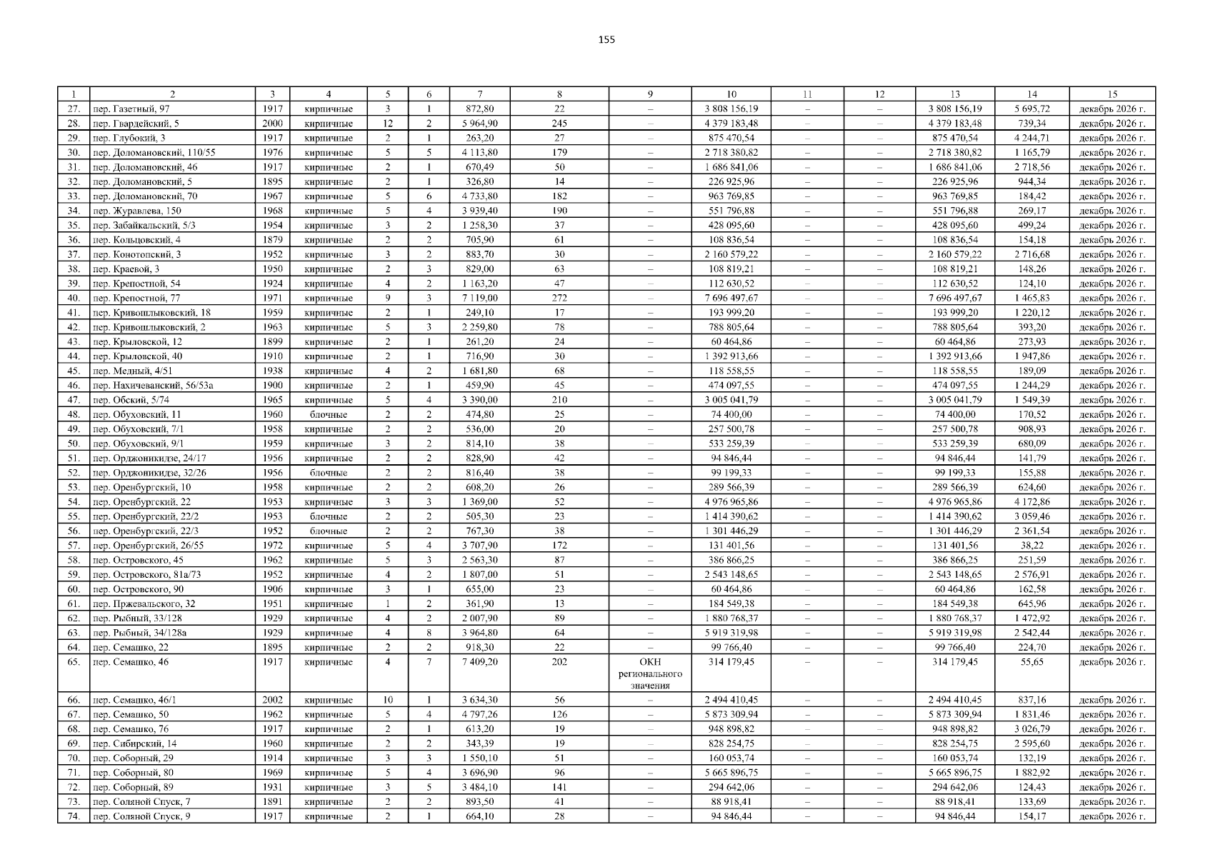
Постановление Правительства Ростовской области от 18.12.2025 № 264
"О внесении изменений в постановление Правительства Ростовской области от 25.12.2024 № 146"
Номер опубликования: 6100202512230030
Дата опубликования: 23.12.2025
Страница №155 из 387:
Увеличить