Официальное опубликование правовых актов
ОФИЦИАЛЬНОЕ ОПУБЛИКОВАНИЕ
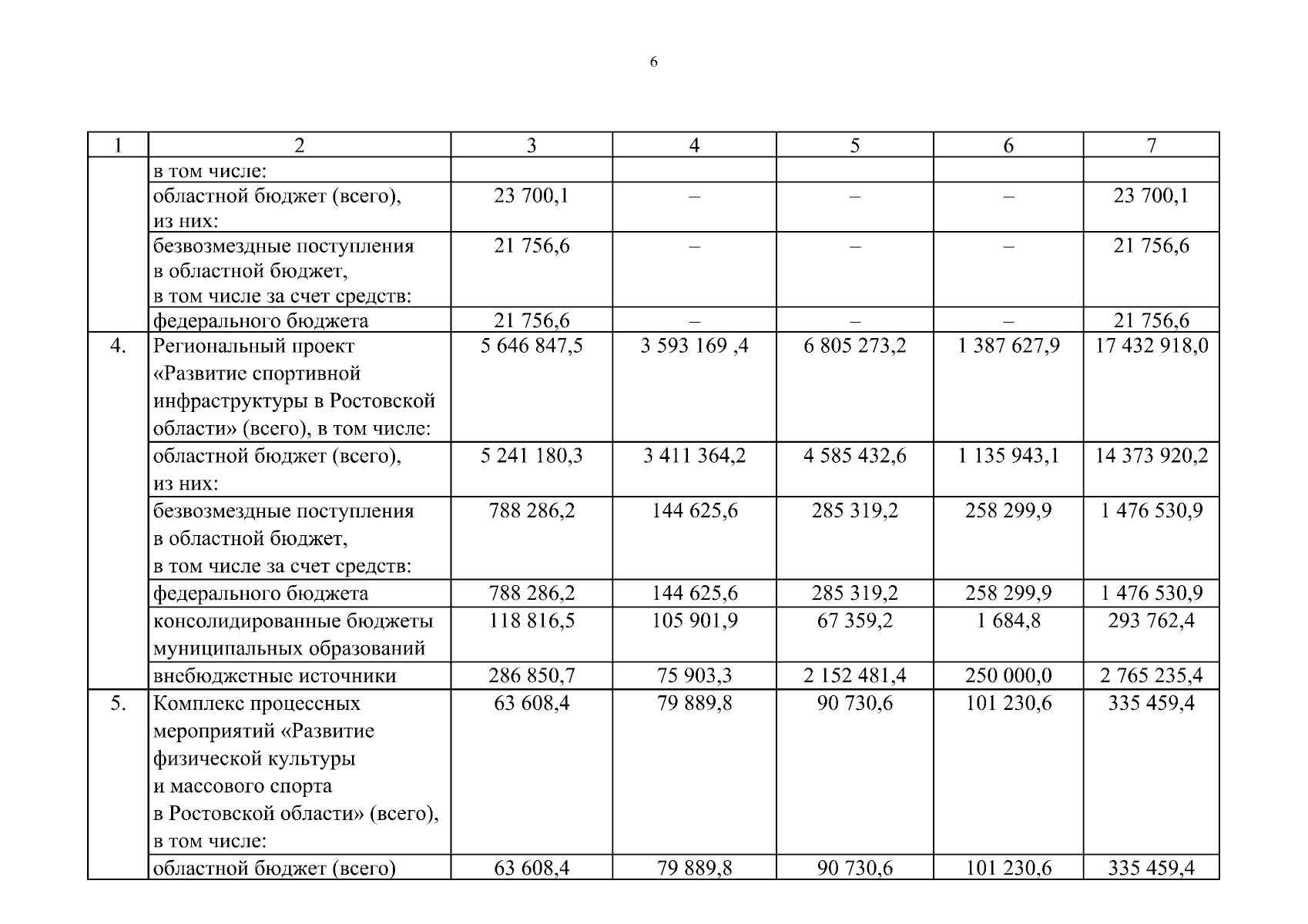
Постановление Правительства Ростовской области от 19.12.2025 № 265
"О внесении изменений в постановление Правительства Ростовской области от 17.10.2018 № 648"
Номер опубликования: 6100202512230027
Дата опубликования: 23.12.2025
Страница №6 из 74:
Увеличить