Официальное опубликование правовых актов
ОФИЦИАЛЬНОЕ ОПУБЛИКОВАНИЕ
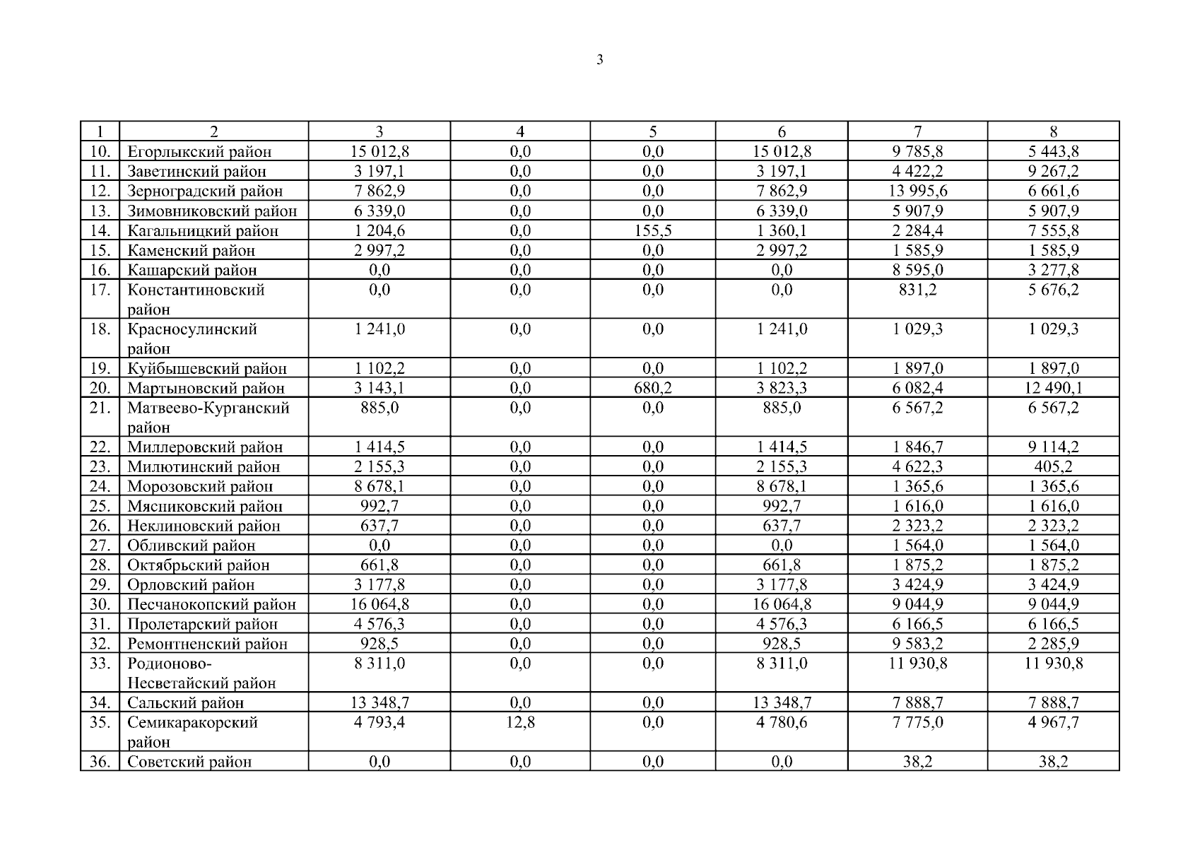
Распоряжение Правительства Ростовской области от 12.12.2025 № 362
"О внесении изменений в распределение объемов субвенции бюджетам муниципальных районов на 2025 год и на плановый период 2026 и 2027 годов на осуществление полномочий по поддержке сельскохозяйственного производства и осуществлению мероприятий в области обеспечения плодородия земель сельскохозяйственного назначения"
Номер опубликования: 6100202512120006
Дата опубликования: 12.12.2025
Страница №3 из 4:
Увеличить