Официальное опубликование правовых актов
ОФИЦИАЛЬНОЕ ОПУБЛИКОВАНИЕ
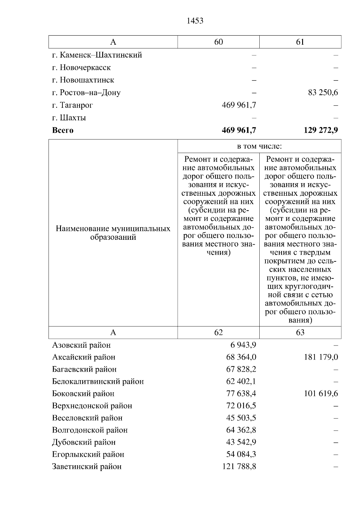
Областной закон Ростовской области от 28.11.2025 № 373-ЗС
"О внесении изменений в Областной закон "Об областном бюджете на 2025 год и на плановый период 2026 и 2027 годов"
Номер опубликования: 6100202511280007
Дата опубликования: 28.11.2025
Страница №1453 из 1815:
Увеличить