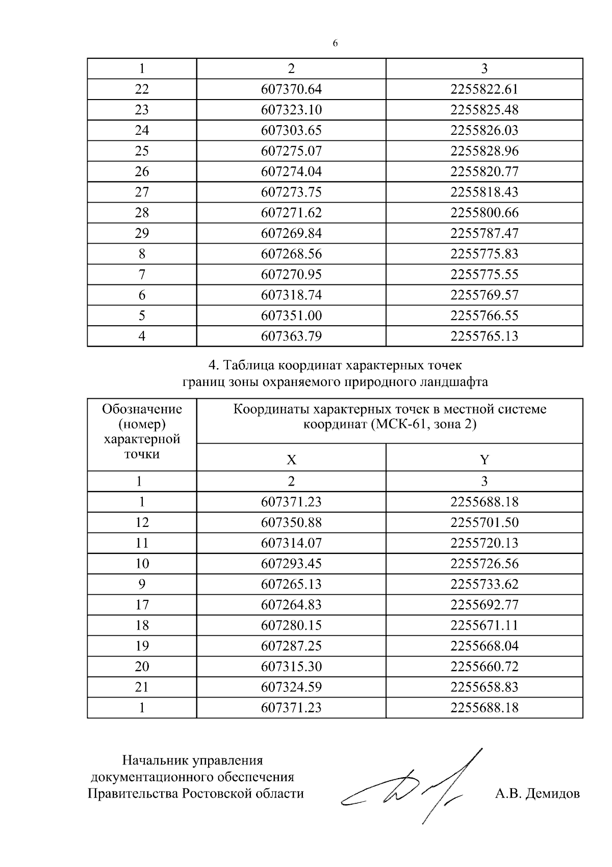
Постановление Правительства Ростовской области от 26.11.2025 № 152
"Об установлении зон охраны объекта культурного наследия регионального значения "Дом помещика, в котором в 1942 г. находился немецкий штаб и тюрьма лагеря Дулаг-125" и утверждении требований к градостроительным регламентам в границах территорий данных зон"
"Об установлении зон охраны объекта культурного наследия регионального значения "Дом помещика, в котором в 1942 г. находился немецкий штаб и тюрьма лагеря Дулаг-125" и утверждении требований к градостроительным регламентам в границах территорий данных зон"
Номер опубликования: 6100202511270021
Дата опубликования:
27.11.2025
