Распоряжение Правительства Ростовской области от 21.11.2025 № 269
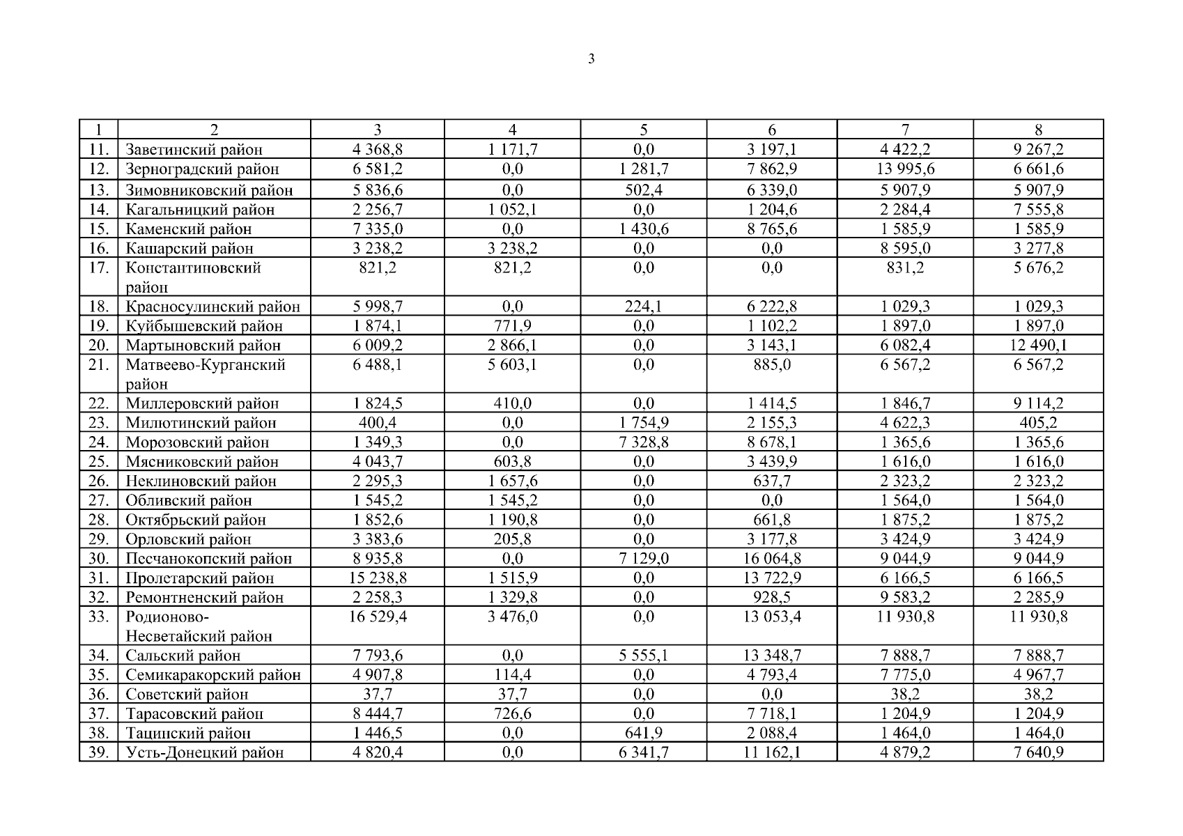
"О внесении изменений в распределение объемов субвенции бюджетам муниципальных районов на 2025 год и на плановый период 2026 и 2027 годов на осуществление полномочий по поддержке сельскохозяйственного производства и осуществлению мероприятий в области обеспечения плодородия земель сельскохозяйственного назначения"
"О внесении изменений в распределение объемов субвенции бюджетам муниципальных районов на 2025 год и на плановый период 2026 и 2027 годов на осуществление полномочий по поддержке сельскохозяйственного производства и осуществлению мероприятий в области обеспечения плодородия земель сельскохозяйственного назначения"
Номер опубликования: 6100202511240007
Дата опубликования:
24.11.2025
