Официальное опубликование правовых актов
ОФИЦИАЛЬНОЕ ОПУБЛИКОВАНИЕ
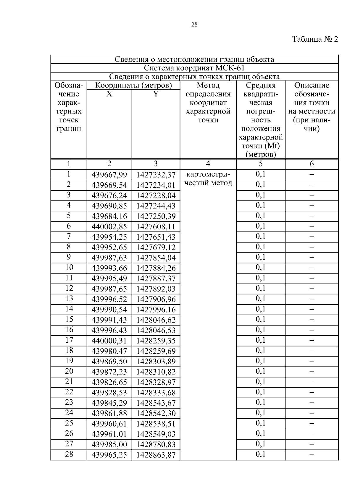
Постановление Правительства Ростовской области от 16.10.2025 № 44
"Об установлении публичного сервитута"
Номер опубликования: 6100202510200005
Дата опубликования: 20.10.2025
Страница №28 из 36:
Увеличить