Официальное опубликование правовых актов
ОФИЦИАЛЬНОЕ ОПУБЛИКОВАНИЕ
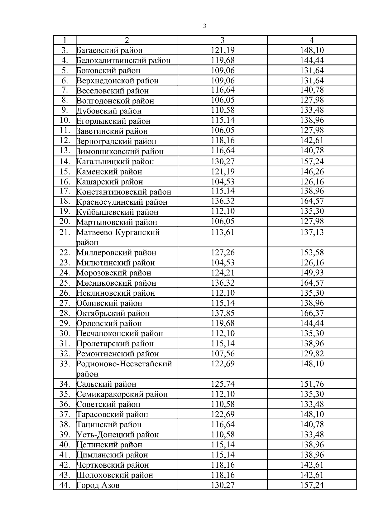
Постановление Правительства Ростовской области от 16.10.2025 № 47
"О внесении изменений в постановление Правительства Ростовской области от 10.01.2022 № 6"
Номер опубликования: 6100202510200002
Дата опубликования: 20.10.2025
Страница №3 из 4:
Увеличить