Официальное опубликование правовых актов
ОФИЦИАЛЬНОЕ ОПУБЛИКОВАНИЕ
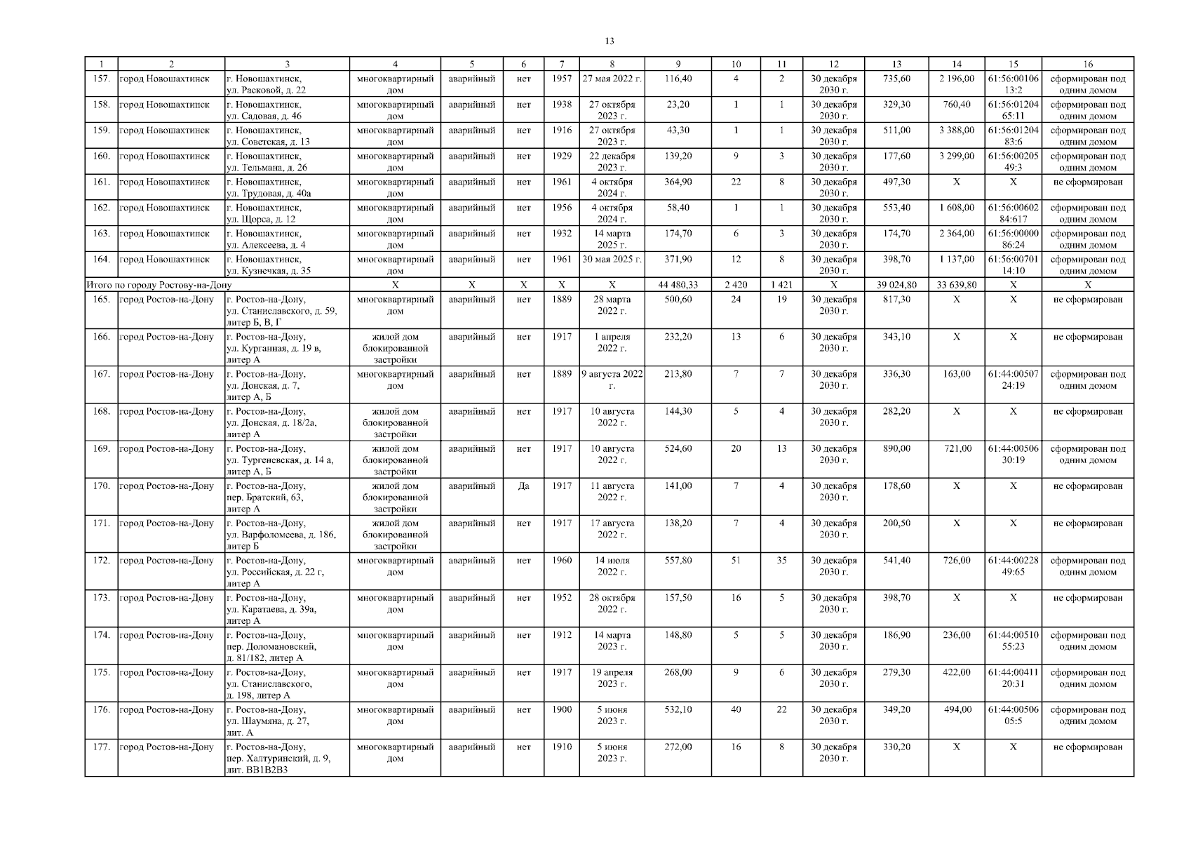
Постановление Правительства Ростовской области от 13.10.2025 № 23
"О внесении изменений в постановление Правительства Ростовской области от 28.10.2024 № 750"
Номер опубликования: 6100202510160012
Дата опубликования: 16.10.2025
Страница №13 из 27:
Увеличить