Официальное опубликование правовых актов
ОФИЦИАЛЬНОЕ ОПУБЛИКОВАНИЕ
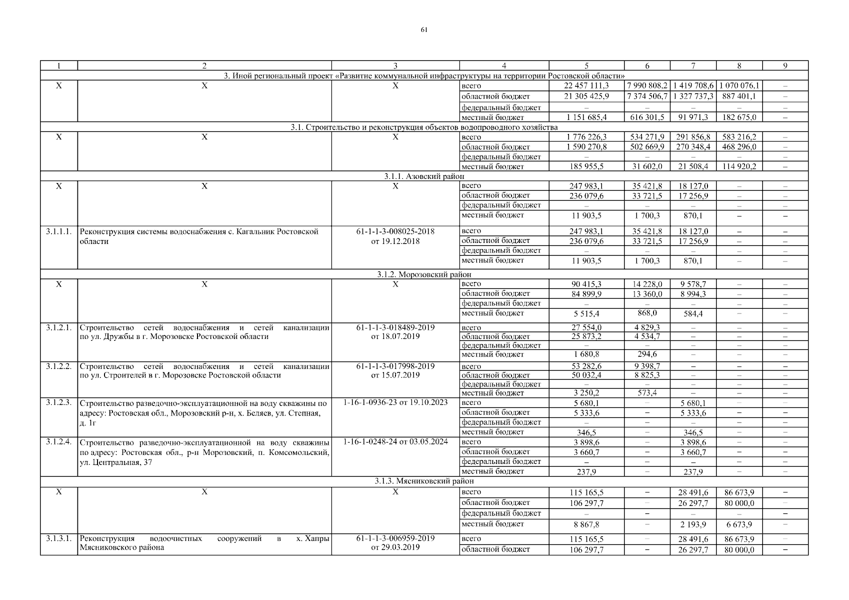
Постановление Правительства Ростовской области от 15.09.2025 № 668
"О внесении изменений в постановление Правительства Ростовской области от 17.10.2018 № 650"
Номер опубликования: 6100202509180017
Дата опубликования: 18.09.2025
Страница №61 из 82:
Увеличить