Официальное опубликование правовых актов
ОФИЦИАЛЬНОЕ ОПУБЛИКОВАНИЕ
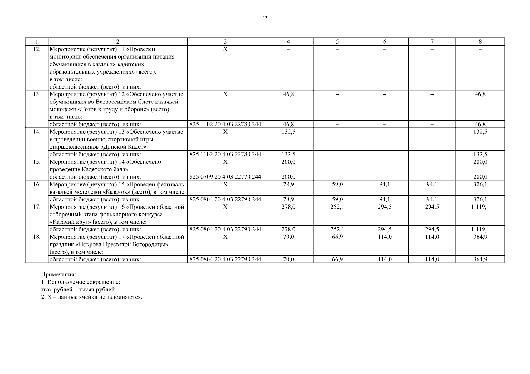
Постановление Правительства Ростовской области от 15.09.2025 № 676
"О внесении изменений в постановление Правительства Ростовской области от 17.10.2018 № 651"
Номер опубликования: 6100202509180001
Дата опубликования: 18.09.2025
Страница №13 из 60:
Увеличить