Официальное опубликование правовых актов
ОФИЦИАЛЬНОЕ ОПУБЛИКОВАНИЕ
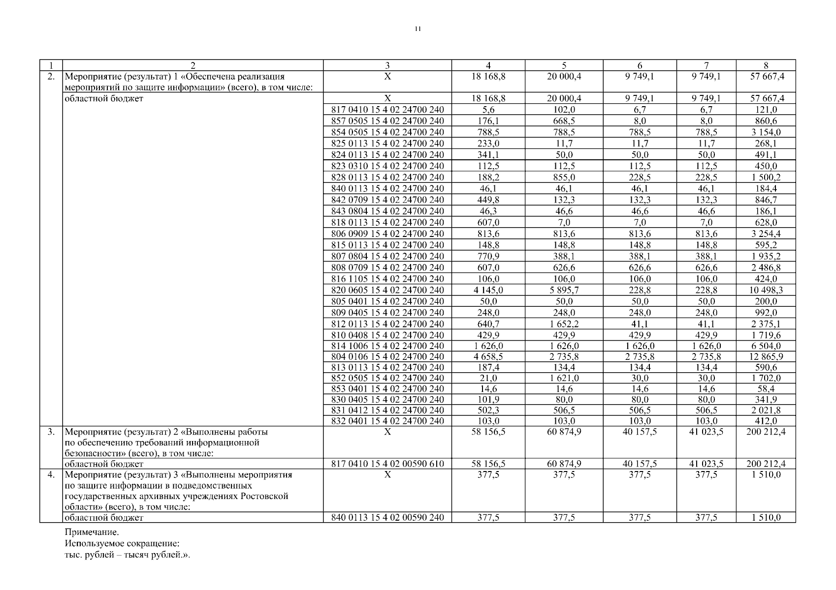
Постановление Правительства Ростовской области от 01.09.2025 № 639
"О внесении изменений в постановление Правительства Ростовской области от 15.10.2018 № 640"
Номер опубликования: 6100202509030003
Дата опубликования: 03.09.2025
Страница №11 из 15:
Увеличить