Официальное опубликование правовых актов
ОФИЦИАЛЬНОЕ ОПУБЛИКОВАНИЕ
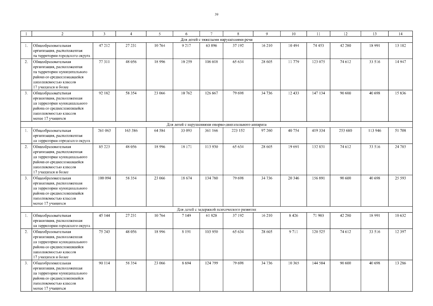
Постановление Правительства Ростовской области от 21.08.2025 № 605
"О внесении изменений в постановление Правительства Ростовской области от 27.12.2024 № 170"
Номер опубликования: 6100202508260009
Дата опубликования: 26.08.2025
Страница №39 из 68:
Увеличить