Официальное опубликование правовых актов
ОФИЦИАЛЬНОЕ ОПУБЛИКОВАНИЕ
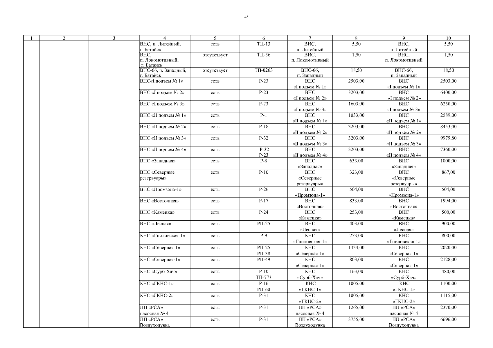
Распоряжение Губернатора Ростовской области от 22.07.2025 № 243
"Об утверждении Перечня потребителей электрической энергии (мощности) Ростовской области, ограничение режима потребления электрической энергии которых может привести к экономическим, экологическим, социальным последствиям"
Номер опубликования: 6100202507290001
Дата опубликования: 29.07.2025
Страница №45 из 186:
Увеличить