Официальное опубликование правовых актов
ОФИЦИАЛЬНОЕ ОПУБЛИКОВАНИЕ
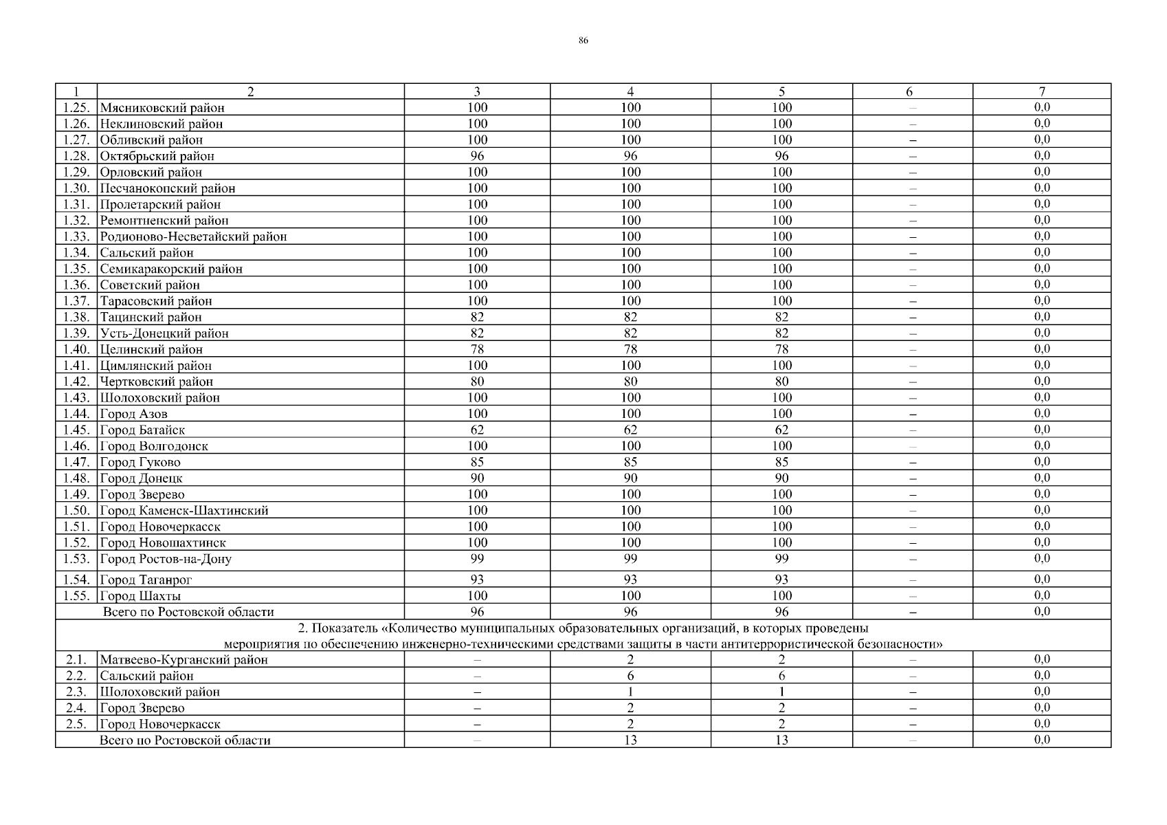
Постановление Правительства Ростовской области от 30.04.2025 № 333
"Об утверждении отчета о реализации государственной программы Ростовской области "Обеспечение общественного порядка и профилактика правонарушений" за 2024 год"
Номер опубликования: 6100202505050005
Дата опубликования: 05.05.2025
Страница №86 из 86:
Увеличить