Официальное опубликование правовых актов
ОФИЦИАЛЬНОЕ ОПУБЛИКОВАНИЕ
Постановление Правительства Ростовской области от 31.03.2025 № 239
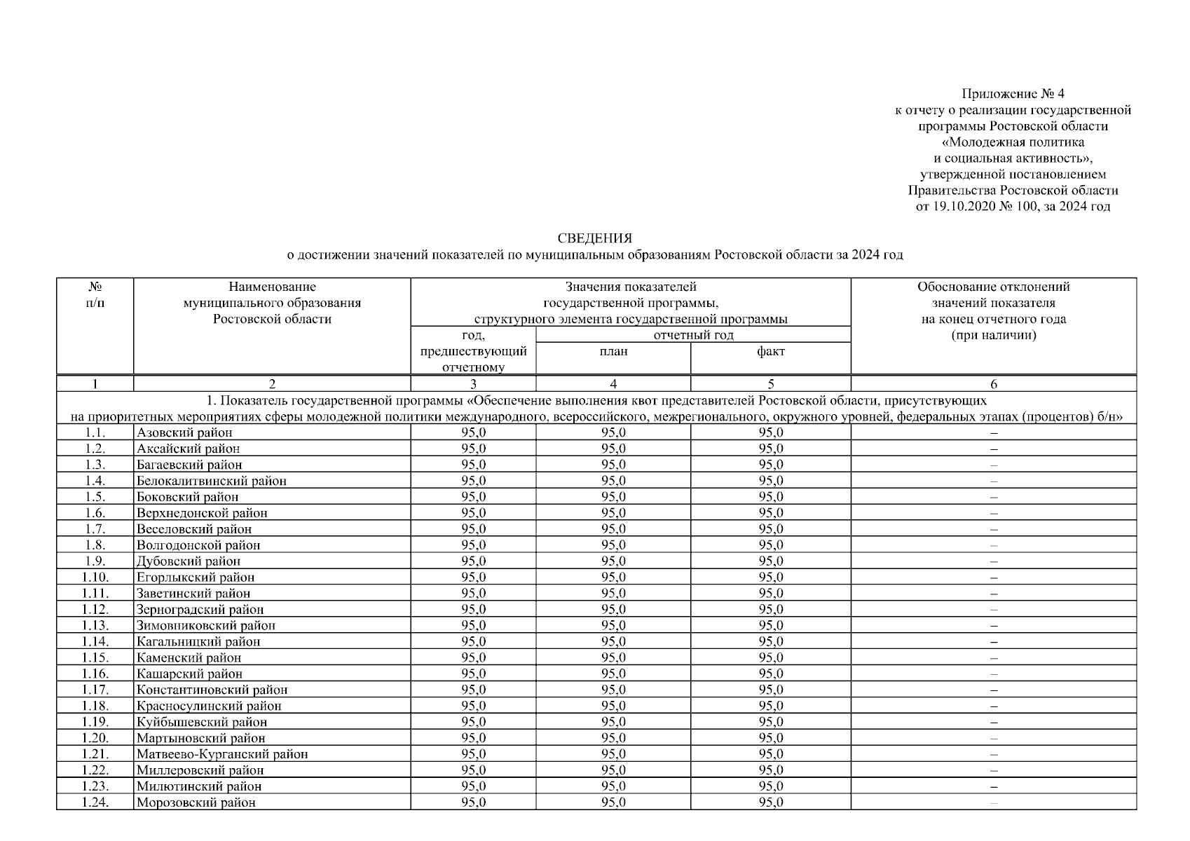
"Об утверждении отчета о реализации государственной программы Ростовской области "Молодежная политика и социальная активность" за 2024 год"
Номер опубликования: 6100202504020013
Дата опубликования: 02.04.2025
Страница №107 из 109:
Увеличить