Официальное опубликование правовых актов
ОФИЦИАЛЬНОЕ ОПУБЛИКОВАНИЕ
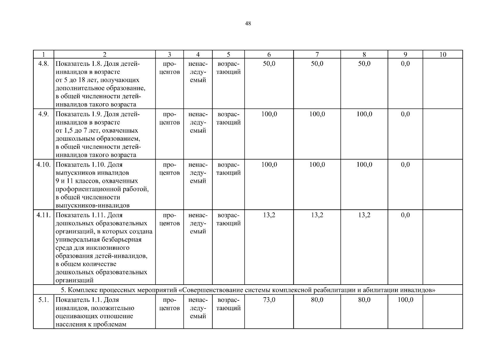
Постановление Правительства Ростовской области от 25.03.2025 № 214
"Об утверждении отчета о реализации государственной программы Ростовской области "Доступная среда" за 2024 год"
Номер опубликования: 6100202503270006
Дата опубликования: 27.03.2025
Страница №48 из 50:
Увеличить