Официальное опубликование правовых актов
ОФИЦИАЛЬНОЕ ОПУБЛИКОВАНИЕ
Постановление Правительства Ростовской области от 18.03.2025 № 196
"О внесении изменений в постановление Правительства Ростовской области от 17.10.2018 № 645"
Номер опубликования: 6100202503190001
Дата опубликования: 19.03.2025
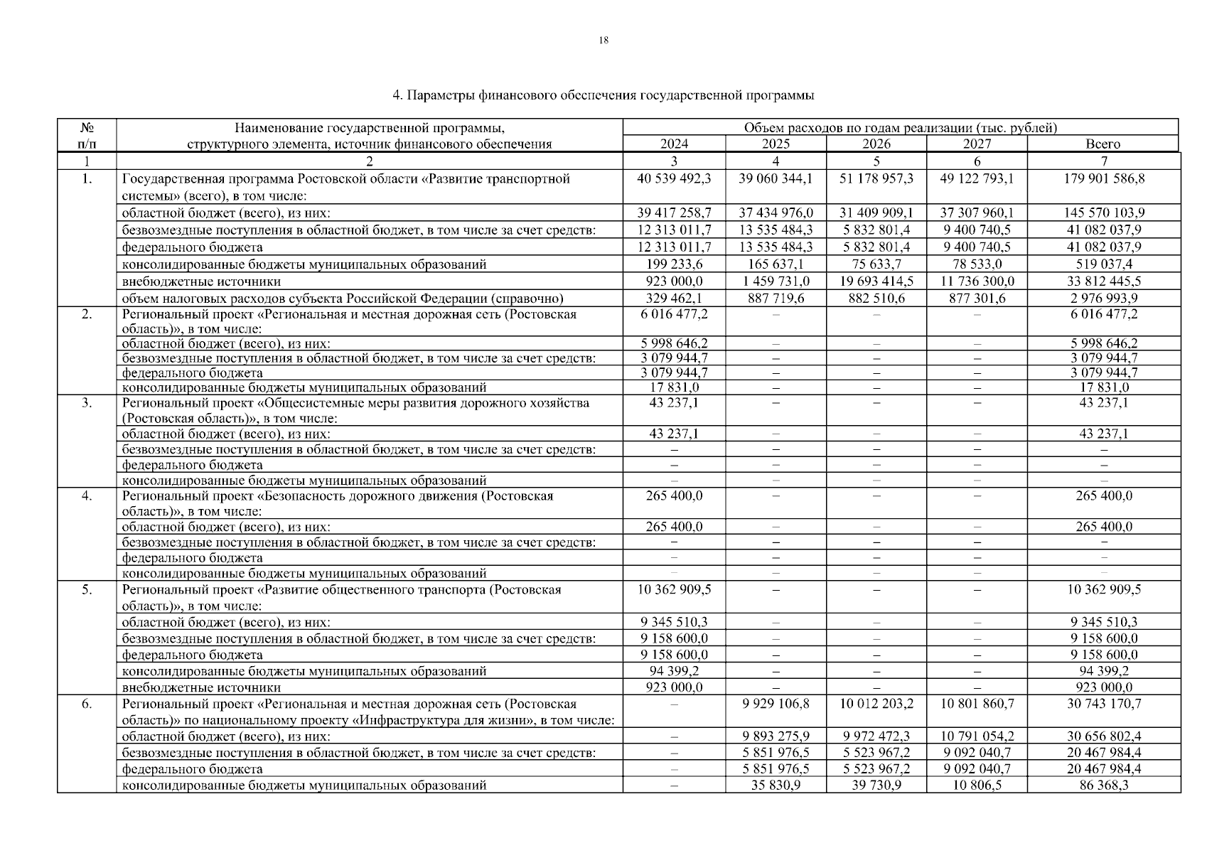
Страница №18 из 166:
Увеличить