Официальное опубликование правовых актов
ОФИЦИАЛЬНОЕ ОПУБЛИКОВАНИЕ
Постановление Правительства Ростовской области от 30.10.2017 № 733
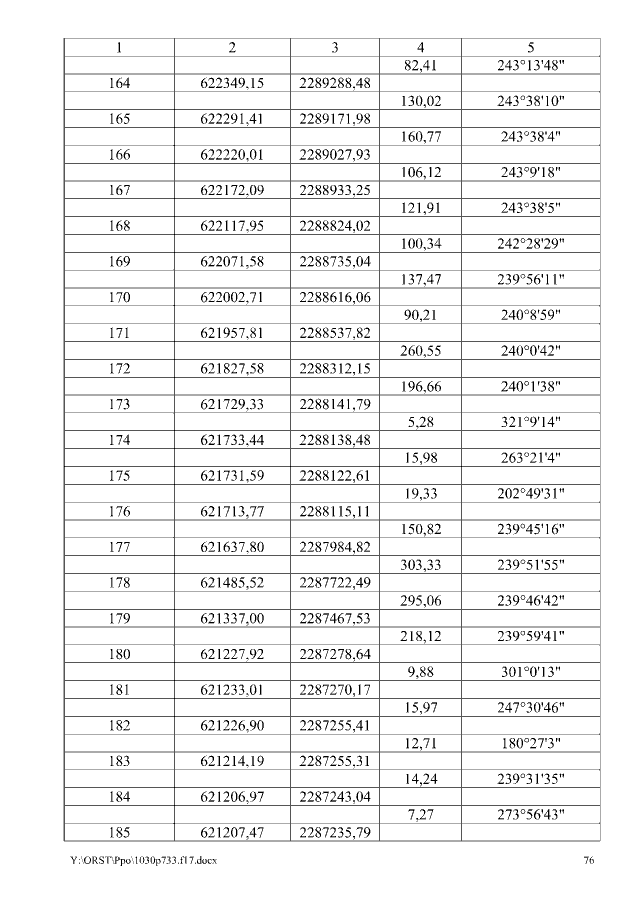
"Об утверждении проекта планировки и проекта межевания территории размещения линейного объекта "Реконструкция автомобильной дороги общего пользования регионального значения г. Миллерово – ст. Вешенская на участке км 24 + 600 – км 38 + 000 в Миллеровском районе"
Номер опубликования: 6100201710310001
Дата опубликования: 31.10.2017
Страница №76 из 139:
Увеличить