Официальное опубликование правовых актов
ОФИЦИАЛЬНОЕ ОПУБЛИКОВАНИЕ
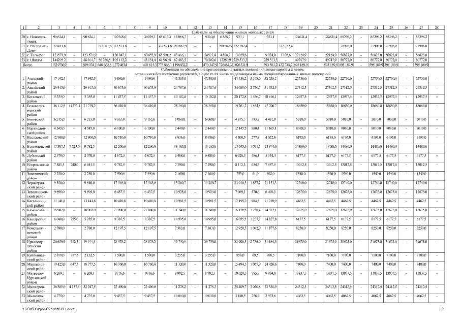
Постановление Правительства Ростовской области от 25.09.2017 № 656
"О внесении изменений в постановление Правительства Ростовской области от 25.09.2013 № 604"
Номер опубликования: 6100201709270007
Дата опубликования: 27.09.2017
Страница №79 из 103:
Увеличить