Официальное опубликование правовых актов
ОФИЦИАЛЬНОЕ ОПУБЛИКОВАНИЕ
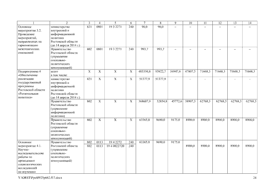
Постановление Правительства Ростовской области от 25.09.2017 № 662
"О внесении изменений в постановление Правительства Ростовской области от 25.09.2013 № 602"
Номер опубликования: 6100201709270005
Дата опубликования: 27.09.2017
Страница №24 из 36:
Увеличить