Официальное опубликование правовых актов
ОФИЦИАЛЬНОЕ ОПУБЛИКОВАНИЕ
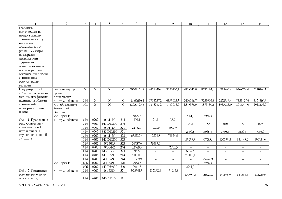
Постановление Правительства Ростовской области от 15.09.2017 № 638
"О внесении изменений в постановление Правительства Ростовской области от 25.09.2013 № 597"
Номер опубликования: 6100201709190019
Дата опубликования: 19.09.2017
Страница №26 из 110:
Увеличить