Официальное опубликование правовых актов
ОФИЦИАЛЬНОЕ ОПУБЛИКОВАНИЕ
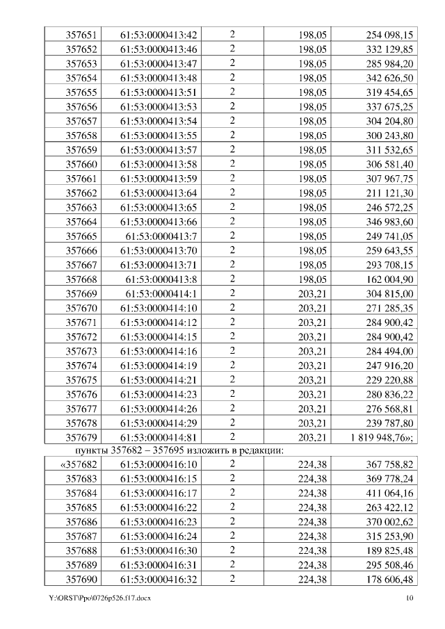
Постановление Правительства Ростовской области от 26.07.2017 № 526
"О внесении изменений в постановление Правительства Ростовской области от 25.11.2014 № 777"
Номер опубликования: 6100201707310010
Дата опубликования: 31.07.2017
Страница №10 из 16:
Увеличить