Официальное опубликование правовых актов
ОФИЦИАЛЬНОЕ ОПУБЛИКОВАНИЕ
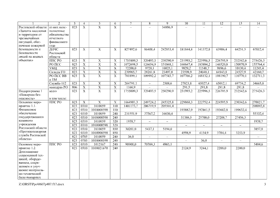
Постановление Правительства Ростовской области от 07.06.2017 № 407
"О внесении изменения в постановление Правительства Ростовской области от 25.09.2013 № 589"
Номер опубликования: 6100201706130018
Дата опубликования: 13.06.2017
Страница №3 из 12:
Увеличить