Официальное опубликование правовых актов
ОФИЦИАЛЬНОЕ ОПУБЛИКОВАНИЕ
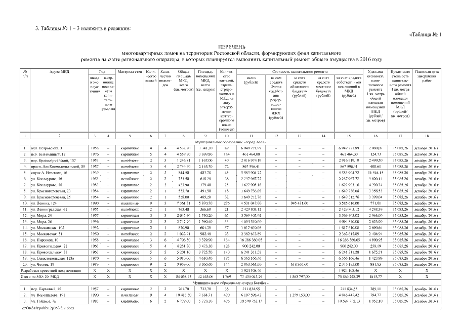
Постановление Правительства Ростовской области от 12.05.2017 № 353
"О внесении изменений в постановление Правительства Ростовской области от 31.12.2015 № 232"
Номер опубликования: 6100201705170004
Дата опубликования: 17.05.2017
Страница №3 из 42:
Увеличить