Официальное опубликование правовых актов
ОФИЦИАЛЬНОЕ ОПУБЛИКОВАНИЕ
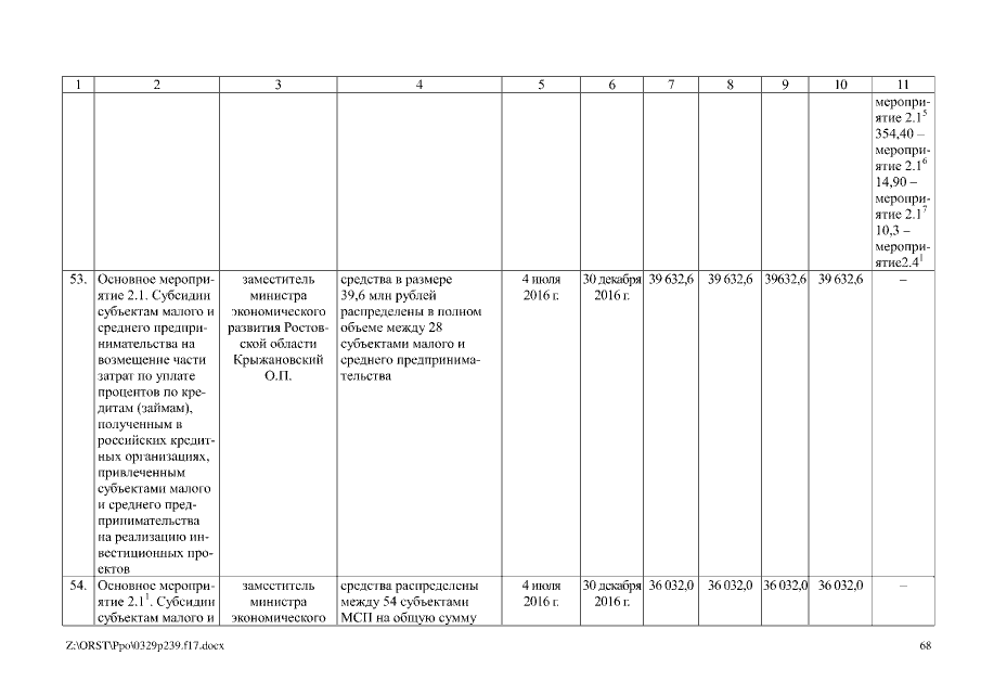
Постановление Правительства Ростовской области от 29.03.2017 № 239
"Об утверждении отчета о реализации государственной программы Ростовской области "Экономическое развитие и инновационная экономика" за 2016 год"
Номер опубликования: 6100201704040019
Дата опубликования: 04.04.2017
Страница №68 из 174:
Увеличить