Официальное опубликование правовых актов
ОФИЦИАЛЬНОЕ ОПУБЛИКОВАНИЕ
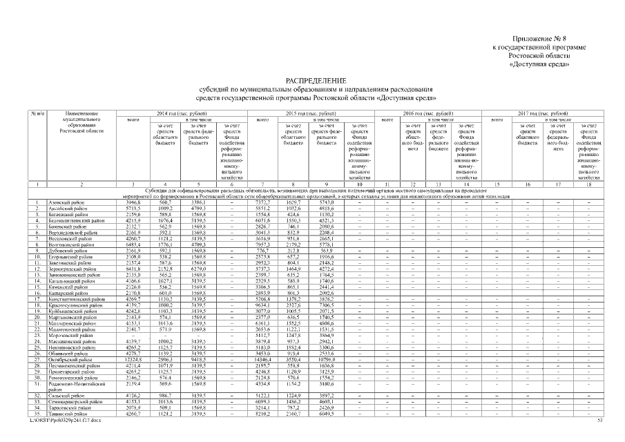
Постановление Правительства Ростовской области от 29.03.2017 № 241
"О внесении изменений в постановление Правительства Ростовской области от 25.09.2013 № 585"
Номер опубликования: 6100201704030002
Дата опубликования: 03.04.2017
Страница №53 из 90:
Увеличить