Официальное опубликование правовых актов
ОФИЦИАЛЬНОЕ ОПУБЛИКОВАНИЕ
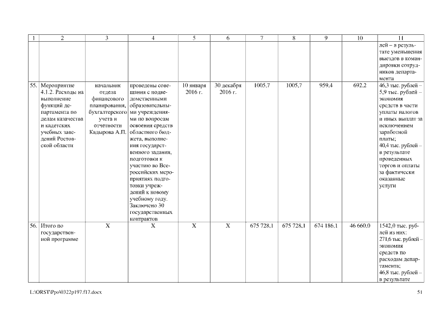
Постановление Правительства Ростовской области от 22.03.2017 № 197
"Об утверждении отчета о реализации государственной программы Ростовской области "Поддержка казачьих обществ Ростовской области" за 2016 год"
Номер опубликования: 6100201703240008
Дата опубликования: 24.03.2017
Страница №51 из 63:
Увеличить