Официальное опубликование правовых актов
ОФИЦИАЛЬНОЕ ОПУБЛИКОВАНИЕ
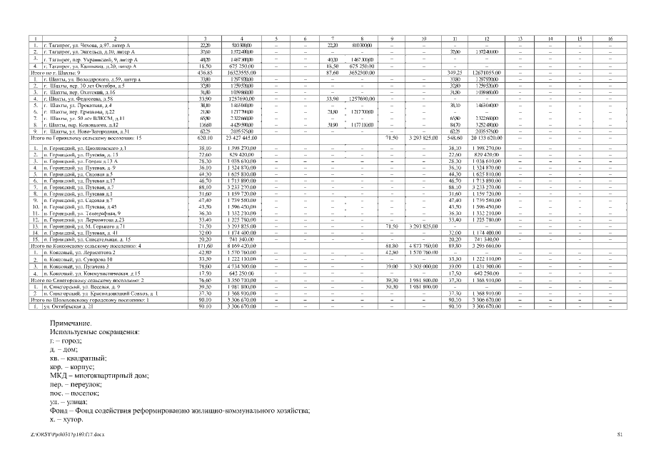
Постановление Правительства Ростовской области от 17.03.2017 № 189
"О внесении изменения в постановление Правительства Ростовской области от 18.04.2013 № 196"
Номер опубликования: 6100201703220001
Дата опубликования: 22.03.2017
Страница №81 из 103:
Увеличить