Официальное опубликование правовых актов
ОФИЦИАЛЬНОЕ ОПУБЛИКОВАНИЕ
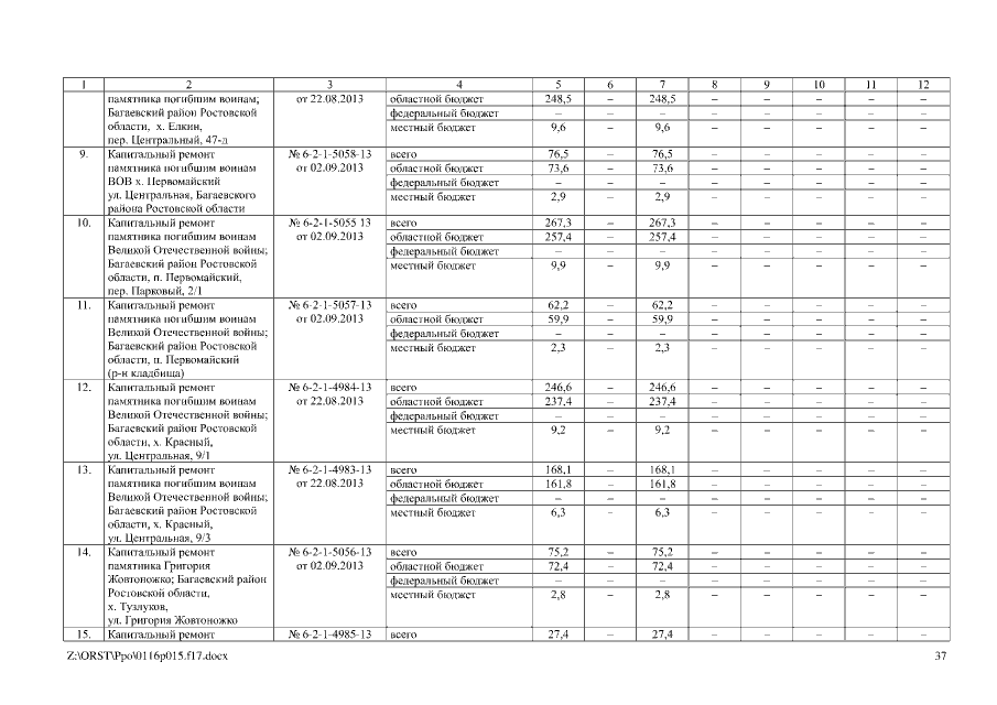
Постановление Правительства Ростовской области от 16.01.2017 № 15
"О внесении изменений в постановление Правительства Ростовской области от 25.09.2013 № 587"
Номер опубликования: 6100201701180012
Дата опубликования: 18.01.2017
Страница №37 из 83:
Увеличить