Официальное опубликование правовых актов
ОФИЦИАЛЬНОЕ ОПУБЛИКОВАНИЕ
Постановление Правительства Ростовской области от 29.12.2016 № 896
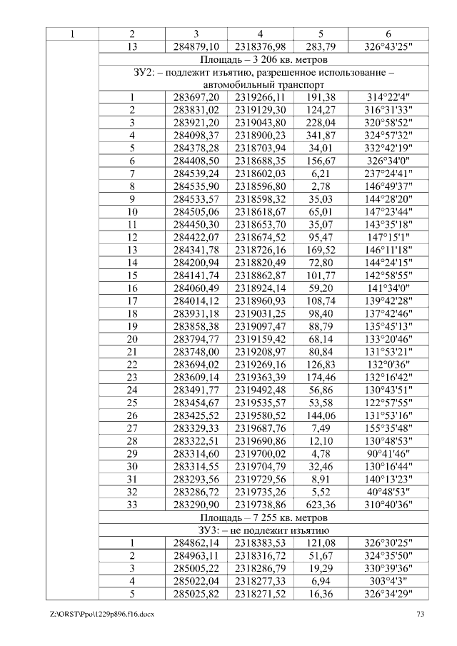
"Об утверждении основной части проекта планировки и проекта межевания территории размещения автомобильной дороги общего пользования регионального значения г. Ростов-на-Дону (от магистрали "Дон") – г. Ставрополь (до границы Ставропольского края) на участке км 171 + 000 – км 176 + 870 в Песчанокопском районе"
Номер опубликования: 6100201701060107
Дата опубликования: 06.01.2017
Страница №73 из 82:
Увеличить