Официальное опубликование правовых актов
ОФИЦИАЛЬНОЕ ОПУБЛИКОВАНИЕ
Постановление Правительства Ростовской области от 29.12.2016 № 895
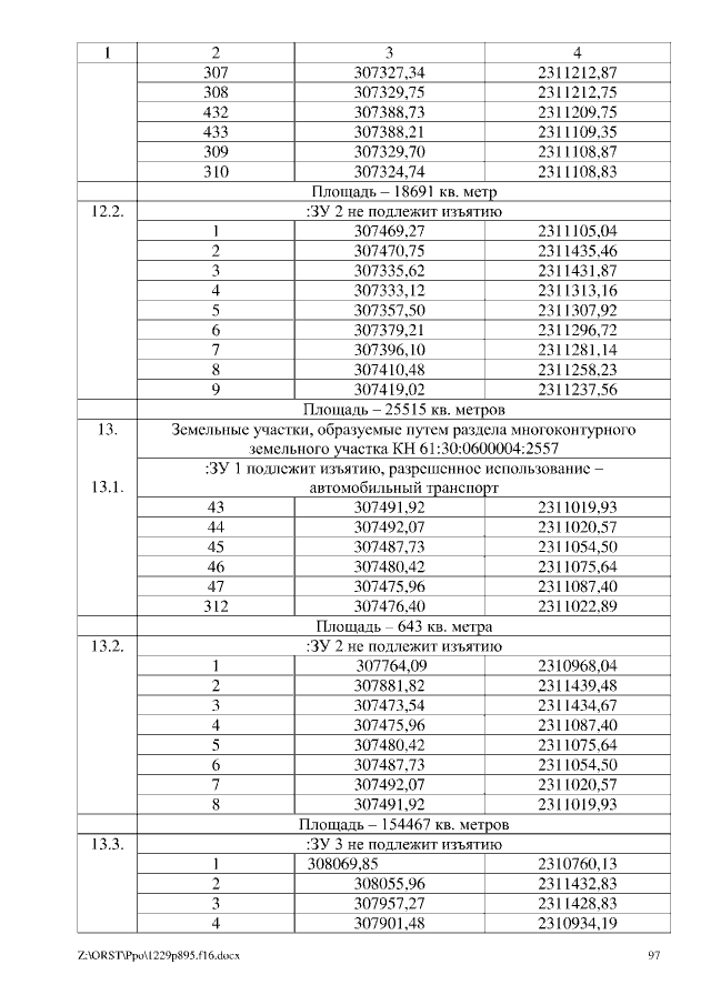
"Об утверждении основной части проекта планировки и проекта межевания территории размещения автомобильной дороги общего пользования регионального значения г. Ростов-на-Дону (от магистрали "Дон") – г. Ставрополь (до границы Ставропольского края) на участке км 147 + 000 – км 152 + 025 в Песчанокопском районе"
Номер опубликования: 6100201701060008
Дата опубликования: 06.01.2017
Страница №97 из 113:
Увеличить