Официальное опубликование правовых актов
ОФИЦИАЛЬНОЕ ОПУБЛИКОВАНИЕ
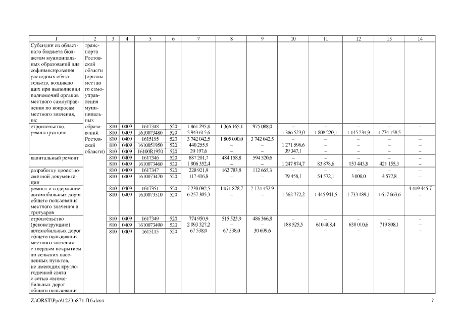
Постановление Правительства Ростовской области от 23.12.2016 № 871
"О внесении изменения в постановление Правительства Ростовской области от 25.09.2013 № 590"
Номер опубликования: 6100201612280011
Дата опубликования: 28.12.2016
Страница №7 из 16:
Увеличить