Официальное опубликование правовых актов
ОФИЦИАЛЬНОЕ ОПУБЛИКОВАНИЕ
Постановление Правительства Ростовской области от 13.12.2016 № 838
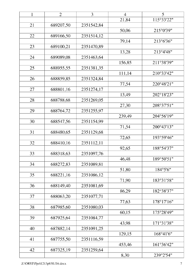
"Об утверждении основной части проекта планировки и проекта межевания территории размещения автомобильной дороги общего пользования регионального значения г. Миллерово – ст. Вешенская на участке км 141 + 730 – км 144 + 530 в Шолоховском районе"
Номер опубликования: 6100201612190023
Дата опубликования: 19.12.2016
Страница №7 из 21:
Увеличить